«Ақмола облысы білім басқармасының Шортанды ауданы бойынша білім бөлімі» мемлекеттік мекемесі
Государственное учреждение «Отдел образования по Шортандинскому району управления образования Акмолинской области»

Ұйымдар тізімі

Галерея

Смотреть все>>>

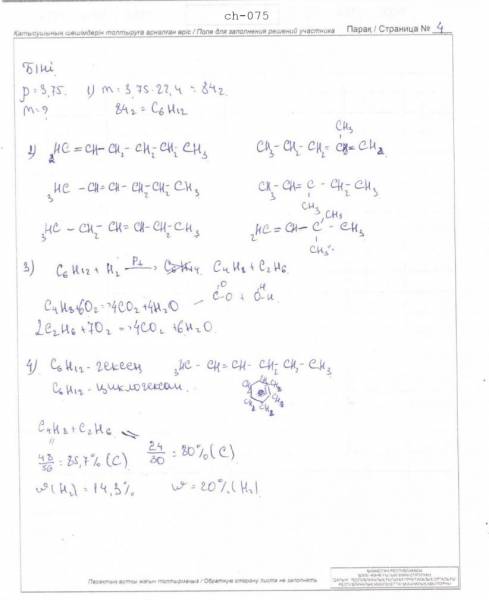
Химия пәні бойынша оқушылардың жауап бланкісі-11 сынып

 

 

 

 


Текст